Seit knapp 14 Tagen bin ich mit den neuen Giga Connect Box ausgestattet. Ich habe mein Abo schon lange und die Connect Box bislang gehabt. Alles lief problemlos bis zum Wechsel auf die Giga Connect Box. Nun leide ich unter den permanent auftretenden kurzen Verbindungsabbrüchen. Als Netzwerktechniker ist es dabei heikel, wenn man Geräte remote konfigurieren muss und dann jedesmals aus der Leitung fliegt. Teams, VPN, alles bricht ab und ein paar Sekunden später scheint alles wieder erreichbar zu sein - man muss jedoch alles neu anmelden und dann nochmals beginnen und hoffen nun nicht mehr unterbrochen zu werden. Die Giga Connect Box ist wie die vorherige Box im Router Modus, der Unterbruch ist an allen Geräten feststellbar, ob drahtgebunden oder im WLAN. Ich habe IPv4 da ich von remote via VPN auf meine Daten zugreifen muss.
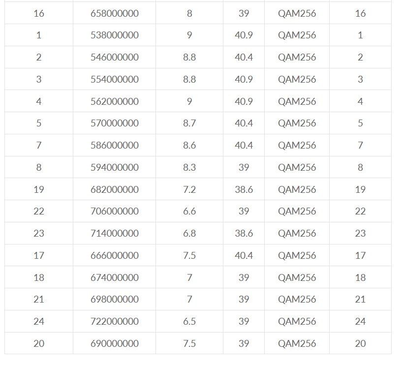
Auszug aus dem Network Logfile:
Fri 24/12/2021 03:02:50 6 CM-STATUS message sent. Event Type Code: 24; Chan ID: 25; DSID: N/A; MAC Addr: N/A; OFDM/OFDMA Profile ID: 1.;CM-MAC=ac:f8:cc:7d:2b:1e;CMTS-MAC=00:17:10:94:50:94;CM-QOS=1.1;CM-VER=3.1;
Fri 24/12/2021 04:16:24 3 No Ranging Response received - T3 time-out;CM-MAC=ac:f8:cc:7d:2b:1e;CMTS-MAC=00:17:10:94:50:94;CM-QOS=1.1;CM-VER=3.1;
Fri 24/12/2021 08:18:48 6 CM-STATUS message sent. Event Type Code: 24; Chan ID: 25; DSID: N/A; MAC Addr: N/A; OFDM/OFDMA Profile ID: 1.;CM-MAC=ac:f8:cc:7d:2b:1e;CMTS-MAC=00:17:10:94:50:94;CM-QOS=1.1;CM-VER=3.1;
Fri 24/12/2021 08:34:51 5 MIMO Event MIMO: Stored MIMO=-1 post cfg file MIMO=-1;CM-MAC=ac:f8:cc:7d:2b:1e;CMTS-MAC=00:17:10:94:50:94;CM-QOS=1.1;CM-VER=3.1;
Fri 24/12/2021 10:32:54 3 No Ranging Response received - T3 time-out;CM-MAC=ac:f8:cc:7d:2b:1e;CMTS-MAC=00:17:10:94:50:94;CM-QOS=1.1;CM-VER=3.1;
Fri 24/12/2021 16:30:45 5 MIMO Event MIMO: Stored MIMO=-1 post cfg file MIMO=-1;CM-MAC=ac:f8:cc:7d:2b:1e;CMTS-MAC=00:17:10:94:50:94;CM-QOS=1.1;CM-VER=3.1;
Fri 24/12/2021 20:38:39 3 No Ranging Response received - T3 time-out;CM-MAC=ac:f8:cc:7d:2b:1e;CMTS-MAC=00:17:10:94:50:94;CM-QOS=1.1;CM-VER=3.1;
Es ärgert sehr, gibt es eine vernünftige Lösung für das Problem? Beim Lesen im Forum, fällt auf, dass es wohl ein sehr gehäuftes Problem darstellt…
Viele Grüsse
sbobi